12th Class Mathematics Past Paper 2021 Lahore Board Group 1 Objective

Instutite Lahore Board
Grade 12th Class
Subject Mathematics
Year 2021
Ads by Google
12th Class Mathematics Past Paper 2021 Lahore Board Group 1 Objective12th Class Mathematics Past Paper 2021 Lahore Board Group 1 Objective
Ads by Google

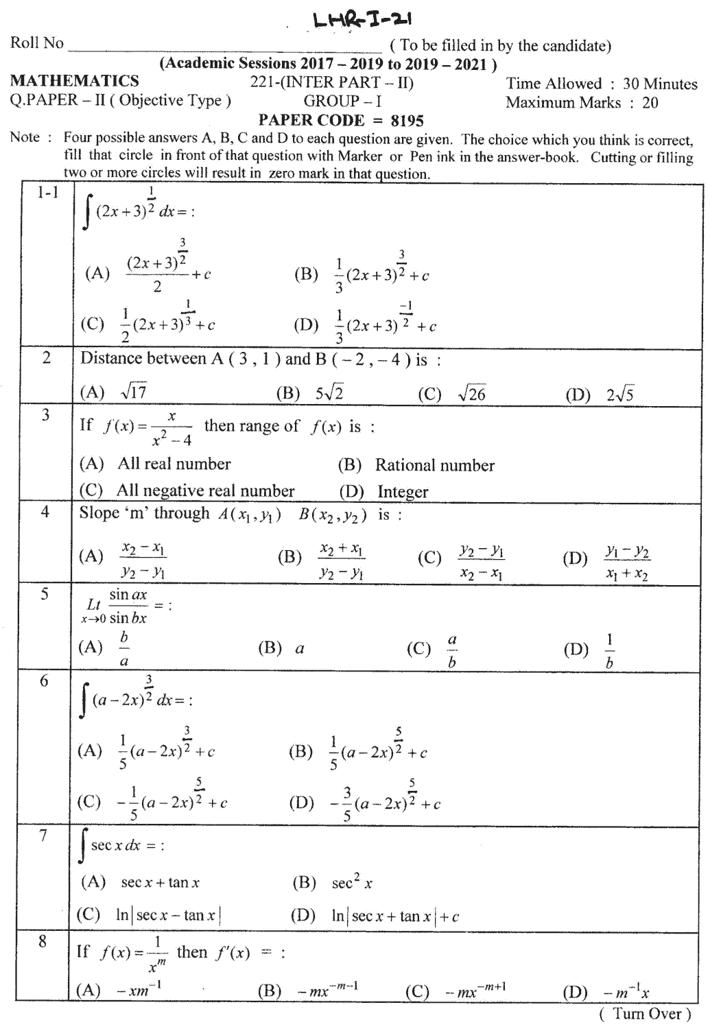
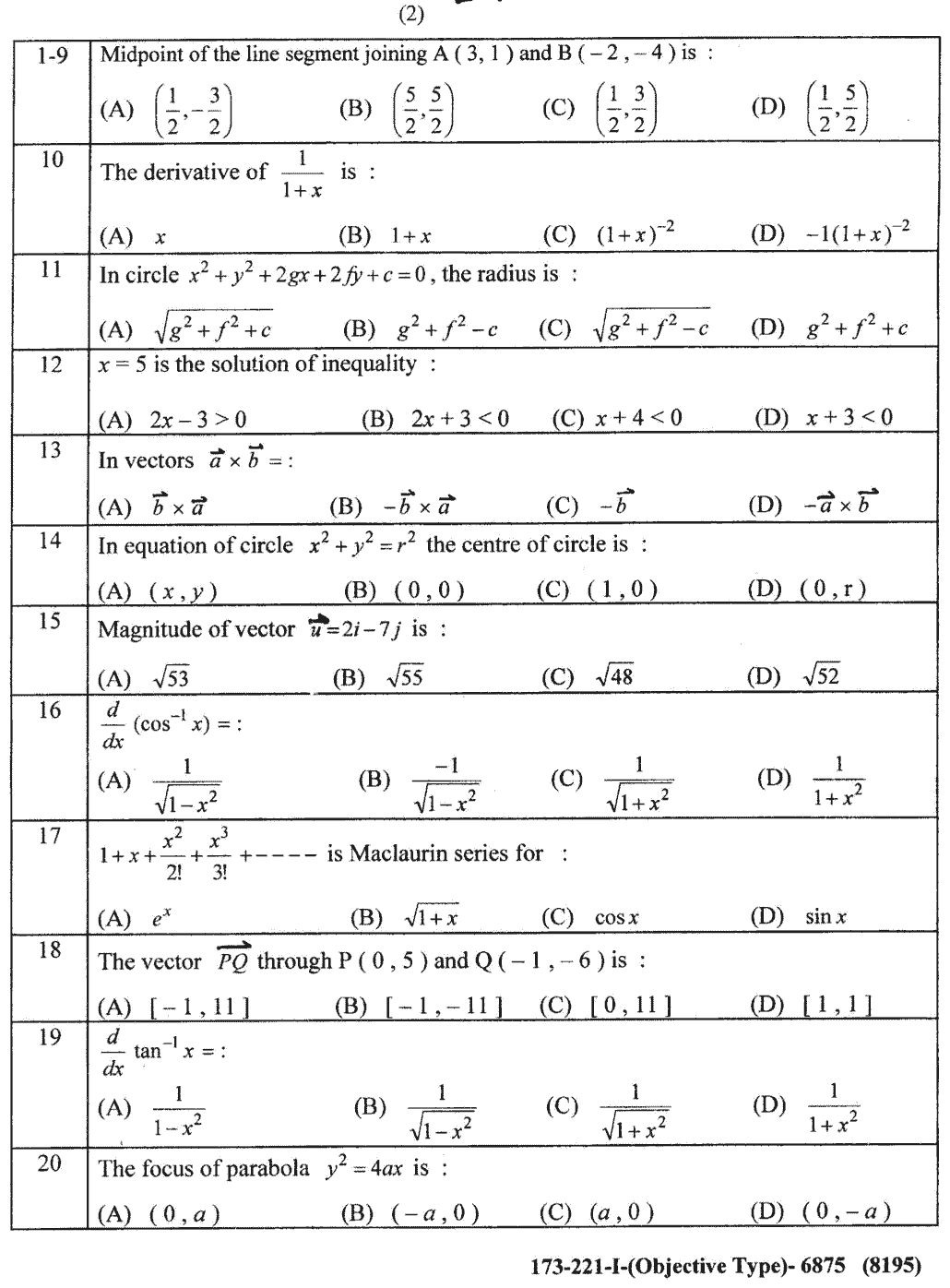
12th Class Mathematics Past Paper Lahore Board of Pakistan are available here. You can also send us your exam paper after your exam. Submit Your Exam Paper