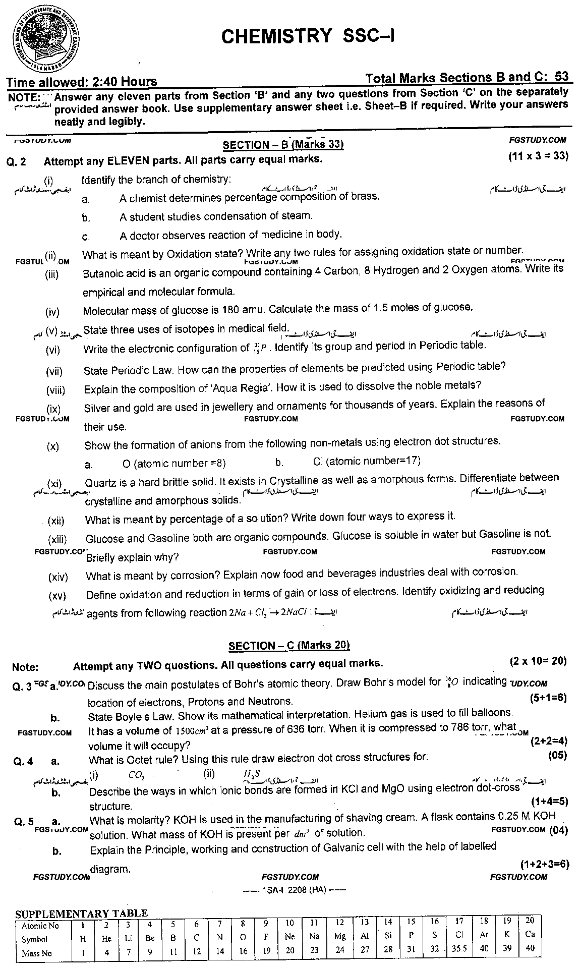
9th Class Chemistry Past Paper 2022 Federal Board Islamabad Group 1 Subjective

Instutite Federal Board Islamabad
Grade 9th Class
Subject Chemistry
Year 2022
Ads by Google
9th Class Chemistry Past Paper 2022 Federal Board Islamabad Group 1 Subjective
Ads by Google

9th Class Chemistry Past Paper Federal Board Islamabad of Pakistan are available here. You can also send us your exam paper after your exam. Submit Your Exam Paper